| [µ¶ÀÚ Ä®·³] Àü±â±â±â ¼³°è -Á÷·ù¿Í º¯¾Ð±â ¼³°è¸¦ Áß½ÉÀ¸·Î¨î | |||
| 2018-10-01 | |||
![]() ÀϺ»ÀÇ ´ÙÄ«ÇϽÃ(ÍÔÎéãôìÑ) ¹Ú»çÀÇ Àú¼¸¦ Æí¿ªÇÑ ¹èÁø¿ë °øÇйڻç(µ¿½Å´ëÇб³ Àü±âÂ÷ Á¦¾î ±³¼ö)ÀÇ Àϰö ¹øÂ° ¿¬À縦 À̾´Ù. Áö³ È£ºÎÅÍ 'Á÷·ù±âÀÇ ¼³°è'¿¡ °üÇÑ Ã©Å͵éÀ» °ÔÀçÇϰí ÀÖ´Ù. À̹ø È£¿¡´Â 2ÀåÀÇ ½º¹°¿©´ü ¹øÂ° ÀýÀÎ ‘¼Õ½Ç°è»ê’¿¡¼ºÎÅÍ ¼¸¥ ¹øÂ° Àý ‘¿Âµµ »ó½ÂÀÇ ¿¹Ãø’±îÁö ¼ö·ÏÇß´Ù. À̹øÈ£±îÁö Á÷·ù±âÀÇ ¼³°è¿Í °üÇÑ ¼³¸íÀÌ ¸¶¹«¸® µÇ°í, ¼³°èÀÇ ¿¹·Î¼ ‘300kW Á÷·ù¹ßÀü±â’¿Í ‘30kW Á÷·ùÀüµ¿±â’ÀÇ ¼³°è·Î ³ª´©¾î °ÔÀçµÉ ¿¹Á¤ÀÌ´Ù. <ÆíÁýºÎ> ![]() 2.28 ¼Õ½Ç°è»ê Á÷·ù±âÀÇ ±Ô¾àÈ¿À²À» »êÁ¤ÇÒ ¶§ Æ÷ÇԵǴ ¼Õ½Ç¿¡´Â (1)~(5) µîÀÌ ÀÖ´Ù.
ÀÌµé ¼Õ½Ç¿¡¼ (e), (g), (i), (j), (k)´Â ÀúÇ×¼ÕÀ¸·Î ±× ÀúÇ×À» ¾Ë¸é ±¸ÇÒ ¼ö ÀÖ´Ù. (a), (h)´Â ö¼ÕÀÌÁö¸¸, (a)´Â ¹«ºÎÇÏ ½Ã ö¼ÕÀ̰í, (h)´Â ºÎÇϰ¡ Àΰ¡µÉ ¶§ À¯µµ ±âÀü·ÂÀÇ º¯È¿¡ µû¸¥ ö¼ÕÀÇ Áõ°¨ÀÌ µÇ¹Ç·Î (a)¿Í (h)´Â µ¿ÀÏÇÑ ¹æ¹ýÀ¸·Î °è»êµÉ ¼ö ÀÖ´Ù. ö¼ÕÀº Å©°Ô È÷½ºÅ׸®½Ã½º ¼Õ½Ç°ú ¿ÍÀü·ù ¼Õ½Ç·Î ºÐ·ùµÇ¸ç, Á÷·ù±â¿¡¼ ö¼ÕÀº Àü±âÀÚ Ã¶½ÉÀÇ Ä¡¿Í °èö ºÎºÐ¿¡¼ ¹ß»ýÇÑ´Ù. È÷½ºÅ׸®½Ã½º ¼Õ½ÇÀº 'Kh·V·f·Bn'°ú °°ÀÌ ³ªÅ¸³¾ ¼ö ÀÖ´Ù. ¿©±â¼ Kh:»ó¼ö, V:üÀû, f:Á֯ļö, B:Àڼӹеµ, n:Æ÷ÈÁ¤µµ¿¡ µû¶ó 1.6~2.0 »çÀÌ¿¡¼ ¼±ÅÃÇÑ´Ù. ¿Í·ù ¼Õ½ÇÀº 'Ke·V·(t·f·B)2'·Î ³ªÅ¸³¾ ¼ö ÀÖ´Ù. ¿©±â¼ Ke:»ó¼ö, t:öÆÇÀÇ µÎ²², V:üÀû, f:Á֯ļö, B:Àڼӹеµ¸¦ ³ªÅ¸³½´Ù. È÷½ºÅ׸®½Ã½º ¼Õ½ÇÀº Á֯ļö¿¡ ºñ·ÊÇϸç, ¿ÍÀü·ù ¼Õ½ÇÀº Á֯ļöÀÇ Á¦°ö¿¡ ºñ·ÊÇÑ´Ù. È÷½ºÅ׸®½Ã½º ¼Õ½ÇÀº ÀڼӹеµÀÇ 1.6~2.0½Â¿¡ ºñ·ÊÇϰí, ¿ÍÀü·ù ¼Õ½ÇÀº ÀڼӹеµÀÇ Á¦°ö¿¡ ºñ·ÊÇÑ´Ù. ±×·¯³ª Àü±â±â±âÀÇ Æ÷È ½Ã¿¡ È÷½ºÅ׸®½Ã½º ¼Õ½ÇÀº ÀڼӹеµÀÇ Á¦°ö¿¡ ºñ·ÊÇÏ´Â °ÍÀ¸·Î ÇÏ¿©µµ Å« ¿ÀÂ÷°¡ ¾ø´Ù. º¸Åë ö¼ÕÀº 1kg´ç Áß·®¿¡ ´ëÇÑ [Watt], Áï W/kgÀ» ±¸ÇÑ ÈÄ ¿©±â¿¡ Áß·®À» °öÇÏ¿© ±¸ÇÑ´Ù. ö½ÉÀÇ Àڼӹеµ Bc¿¡¼ ö½É ±íÀÌ¿¡ µû¸¥ Áß·®¿¡ ´ëÇÑ WattÀÎ (W/kg)cÀº ¾Æ·¡¿Í °°´Ù. (W/kg)c = Bc2(Ch × f £« Ce × f 2) ¶ÇÇÑ Ä¡ÀÇ Àڼӹеµ Bt¿¡¼ Áß·®¿¡ ´ëÇÑ WattÀÎ (W/kg)tÀº ¾Æ·¡¿Í °°´Ù. (W/kg)t = Bc2(Ch × f £« Ce × f 2) ÀϹÝÀûÀ¸·Î Àü±âÀÚ °ÆÇÀ¸·Î´Â 0.35mm µÎ²²ÀÇ S23F¸¦ »ç¿ëÇϸç, °ÆÇÀ» ÀûÃþÇÏ¿© (W/kg)c ¹× (W/kg)t¸¦ °è»êÇϸé [Ç¥ 1.2]¿¡ ³ªÅ¸³ W/kgº¸´Ù ¿ùµîÈ÷ Å« °ªÀ¸·Î µÈ´Ù. (W/kg)c ¹× (W/kg)t´Â ½Ä (2.38)°ú (2.39)·Î ³ªÅ¸³¾ ¼ö ÀÖ´Ù. ![]() Âü°í·Î ½Ä (2.38)°ú (2.39)¿¡¼ 10000gauss, 50HzÀÇ °æ¿ì (W/kg)c = (W/kg)t = 5.25W/kgÀÌÁö¸¸ [Ç¥ 1.2]ÀÇ S23FÀº 2.3W/kgÀÌ´Ù. µû¶ó¼ °ÆÇÀ» ÀûÃþÇÏ¿© (W/kg)c ¹× (W/kg)t¸¦ °è»êÇϸé [Ç¥ 1.2]¿¡ ³ªÅ¸³ W/kgº¸´Ù Å©°Ô µÊÀ» ¾Ë ¼ö ÀÖ´Ù. Ch, Ce´Â Á¤¼ö·Î Á¦ÀÛÀÚ¿¡ µû¶ó Â÷À̰¡ ÀÖÀ¸¸ç, (W/kg)c ¹× (W/kg)t¿¡ À־µ ´Ù¸¥ °æ¿ì°¡ ÀÖÁö¸¸ º»¼¿¡¼´Â ½Ä (2.38), (2.39)¿¡ ³ªÅ¸³½ °ªÀ» »ç¿ëÇϱâ·Î ÇÑ´Ù. ¶ÇÇÑ Ch, Ce´Â °ÆÇÀÇ Å¸¹ß ¹× ÀûÃþ ÈÄ ±×¶óÀδõ·Î °¡°øÇÏ´Â ÀÛ¾÷¿¡ µû¶ó¼µµ Â÷À̰¡ ¹ß»ýÇÑ´Ù. ö¼ÕÀ» °è»êÇÒ ¶§¿¡ Á֯ļö f´Â ½Ä (2.40)À¸·Î °è»êµÈ´Ù. ![]() ºÎÇÏ¿¡ µû¶ó Áõ°¨Çϴ ö¼Õ (h)´Â ºÎÇϰ¡ Àΰ¡µÉ ¶§ ¹ßÀü±â¿¡¼´Â À¯µµ±âÀü·ÂÀ» ³ô°Ô ¹ß»ýÇÏ¿© ´ÜÀÚÀü¾ÐÀÌ Á¤°ÝÀü¾ÐÀ¸·Î À¯ÁöµÇµµ·Ï ÇÑ´Ù. ÀÌ·Î ÀÎÇØ ö¼ÕÀÌ Áõ°¡ÇÏÁö¸¸ ±× ¾çÀÌ ¹Ì¼¼ÇϹǷΠº¸ÅëÀÇ Ã¶¼Õ (h)´Â ¹«½ÃÇÏ´Â °æ¿ì°¡ ¸¹´Ù. ![]() ¼Õ½Ç (b), (c), (d)´Â ±â°èÀû ¼Õ½ÇÀ̸ç (c)´Â ½Ä (2.23)À¸·Î °è»êÇÒ ¼ö ÀÖÁö¸¸, ¼Õ½Ç (b), (d)ÀÇ °æ¿ì Á¤È®ÇÑ °è»ê½ÄÀ» ¾òÀ» ¼ö ¾øÀ¸¹Ç·Î (b)+(c)+(d)ÀÇ °ªÀ» [±×¸² 2.74]¿¡ ³ªÅ¸³ Ãâ·Â¿¡ µû¸¥ ±â°èÀû ¼Õ½Ç[%]¿¡ ÀÇÇÏ¿© °£´ÜÇÑ ¹æ¹ýÀ¸·Î ±¸ÇÒ ¼ö ÀÖ´Ù. ¼Õ½Ç (f)ÀÇ °ªÀº [±×¸² 2.21]¿¡¼ µµ½ÃÇÑ ºê·¯½Ã¿¡ ÀÇÇÑ Àü¾Ð°ÇÏ¿Í Àü·ù¿ÍÀÇ °öÀ» ³ªÅ¸³»¸ç, ¼Õ½Ç (l), (m), (n)Àº Á÷·ù±âÀÇ Ç¥À¯ºÎÇϼÕÀ¸·Î °è»êÀÌ °ï¶õÇϹǷΠJEC-54¿¡¼´Â Ç¥À¯ºÎÇϼÕÀ» Àü·ùÀÇ Á¦°ö¿¡ ºñ·ÊÇÏ´Â °ÍÀ¸·Î º¸°í ¼±Á¤Çϸç Á¤°ÝÀü·ù¿¡¼ º¸»ó±Ç¼±ÀÌ ÀÖ´Â °æ¿ì ±âÁØÃâ·ÂÀÇ 0.5%, º¸»ó±Ç¼±ÀÌ ¾ø´Â °æ¿ì 1%·Î ¼±Á¤ÇÑ´Ù. À̻󿡼 ¼Õ½ÇÀ» ±¸ÇÏ´Â ¹æ¹ý¿¡ ´ëÇØ ¼³¸íÇÏ¿´À¸³ª ¼Õ½Ç (i)+(j)´Â ºÎÇÏ¿¡ °ü°è¾øÀÌ ÀÏÁ¤ÇϹǷΠ¿©ÀÚ¼Õ (3)À» °íÁ¤¼Õ (1)ÀÇ ÀϺηΠ°í·ÁÇÒ ¼ö ÀÖ´Ù. Á÷Á¢ ºÎÇÏ¼Õ (2)¿¡¼ ¼Õ½Ç (e), (g)´Â Àü·ùÀÇ Á¦°ö¿¡ ºñ·ÊÇϸç, ¼Õ½Ç (f)´Â Àü¾Ð°Çϸ¦ ÀÏÁ¤ÇÑ °ÍÀ¸·Î º¸°í °è»êÇϹǷΠÀü·ù¿¡ ºñ·ÊÇÏ°Ô µÈ´Ù. µû¶ó¼ ½ÇÁ¦ °è»ê¿¡ ÀÖ¾î¼ ´ÙÀ½°ú °°Àº »çÇ×À» Àü ¼Õ½ÇÀ̶ó Çϰí À̰ÍÀ» ¹ÙÅÁÀ¸·Î È¿À²À» °è»êÇÑ´Ù.
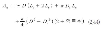
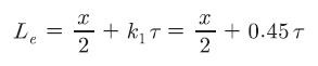
2.29 ¿Âµµ »ó½Â Çѵµ ÀϹÝÀûÀ¸·Î Á÷·ù±â»Ó ¾Æ´Ï¶ó ¸ðµç Àü±â±â±â´Â ¼Õ½Ç·Î ÀÎÇØ ¿Âµµ°¡ »ó½ÂÇÏ°Ô µÇ°í, ÀÌ·Î ÀÎÇÏ¿© Àý¿¬¹°ÀÌ ¿ÈµÈ´Ù. µû¶ó¼ ¿È°¡ µÇÁö ¾Ê´Â ¿Âµµ·Î Á¦ÇÑÇÒ Çʿ䰡 ÀÖ´Ù. [Ç¥ 2.3]Àº °¢ ºÎºÐÀÇ Á¦ÇÑ ¿ÂµµÀ̸ç, ÀÌ ¿Âµµ´Â Àý¿¬¹°ÀÇ ÃÖ°í Çã¿ë¿Âµµ¸¦ ³ªÅ¸³½´Ù. ¿©±â¼ ¿Âµµ»ó½ÂÀ̶õ ±â±â °¢ ºÎºÐÀÇ ¿Âµµ¿Í ±âÁØ ÁÖÀ§ ¿Âµµ¿ÍÀÇ Â÷·Î Á¤ÀǵǸç, ÁÖÀ§ ¿Âµµ´Â ±â±âÀÇ ³Ã°¢¸ÅüÀÇ ¿Âµµ¸¦ ÀǹÌÇÑ´Ù. ¶ÇÇÑ ¿Âµµ »ó½ÂÀ» °áÁ¤ÇÒ ¶§ ±âÁØÀÌ µÇ´Â ÁÖÀ§¿Âµµ¸¦ ±âÁØ ÁÖÀ§¿Âµµ¶ó ÇÑ´Ù. Àü±â±â±âÀÇ ¿Âµµ »ó½ÂÀº ¿©¸§À̳ª °Ü¿ï¿¡ »ó°üÇÏÁö ¾Ê°í ¸ðµÎ µ¿ÀÏÇÑ °ªÀ¸·Î Á¦ÇÑÇϸç, JEC-54¿¡¼ [Ç¥ 2.3]°ú °°ÀÌ ±ÔÁ¤µÇ¾î ÀÖ´Ù. [Ç¥ 2.3]¿¡¼ ¿Âµµ°è¹ýÀ̶õ ¿Âµµ°è¸¦ ÀÌ¿ëÇÏ¿© ±â°èÀÇ °¢ ºÎºÐÀ» Á÷Á¢ ÃøÁ¤ÇÏ´Â ¹æ¹ýÀÌ´Ù. ¶ÇÇÑ ÀúÇ×¹ýÀº ¹Ì¸® ³Ã°¢»óÅ¿¡ ÀÖ´Â ±â°èÀÇ °¢ ºÎºÐÀÇ ÀúÇ×À» ÃøÁ¤ÇÑ ÈÄ ±â°èÀÇ °¢ ºÎºÐÀÇ ÀúÇ×À» ÃøÁ¤ÇÏ¿© °è»ê¿¡ ÀÇÇØ ¿Âµµ¸¦ ÃøÁ¤ÇÏ´Â ¹æ¹ýÀ¸·Î, ½Ä(1.10)¿¡¼ ³Ã°¢»óÅÂÀÇ ¿Âµµ¸¦ t, ÃÖÁ¾ ¿Âµµ¸¦ T¶ó ÇÒ ¶§ Rt¿Í RT¸¦ ÃøÁ¤ÇÏ¿© (T-t)¸¦ ±¸ÇÒ ¼ö ÀÖ´Ù. ¿©±â¼ ±âÁØÀÌ µÇ´Â ÁÖÀ§¿Âµµ´Â ÃÖ°í 40¡É·Î Çϸç 40¡É ÀÌ»óÀÎ °æ¿ì [Ç¥ 2.3]ÀÇ ¿Âµµ »ó½Â Çѵµ¿¡¼ 40¡É¸¦ ÃʰúÇÏ´Â ¿Âµµ¸¦ »« °ÍÀ» ¿Âµµ »ó½ÂÀÇ »óÇÑ °ªÀ¸·Î ÇÑ´Ù. ¶ÇÇÑ 1000m ÀÌ»óÀÇ °íÁö¿¡¼ »ç¿ëÇÏ´Â ±â°è¸¦ ÇØ¼ö¸é ºÎ±Ù¿¡¼ ½ÃÇèÇÏ´Â °æ¿ì [Ç¥ 2.3]ÀÇ ¿Âµµ »ó½Â Çѵµ¸¦ ¼öÁ¤ÇÏ¿©¾ß ÇÑ´Ù. Áï 1000m¸¦ ÃʰúÇÒ ¶§¸¶´Ù 100m¸¦ ´õÇÑ ÈÄ [Ç¥ 2.3]ÀÇ ¿Âµµ »ó½Â¿¡ 1% °¨ÇÑ °ªÀ» ¿Âµµ »ó½ÂÀÇ »óÇÑÀ¸·Î ¼³Á¤ÇÑ´Ù. [Ç¥ 2.3]¿¡ ³ªÅ¸³½ ¼öÄ¡´Â ¿¬¼ÓÁ¤°Ý, ´Ü½Ã°£ Á¤°Ý ¹× ¹Ýº¹ Á¤°ÝÀÇ ±â°è¿¡ Àû¿ëÇÒ ¼ö ÀÖ´Ù. ¿¬¼ÓÁ¤°ÝÀ̶õ ÁöÁ¤µÈ Á¶°Ç¿¡¼ ¿¬¼ÓÀûÀ¸·Î »ç¿ëÇÒ ¶§ ±Ô°Ý¿¡ Á¤ÇØÁø ¿Âµµ »ó½Â Çѵµ ¹× ±âŸÀÇ Á¦ÇÑ¿¡ ÀúÃ˵ÇÁö ¾Ê´Â Á¤°ÝÀ» ÀǹÌÇÑ´Ù. ´Ü½Ã°£ Á¤°ÝÀº ÁöÁ¤µÈ ÀÏÁ¤ ´Ü½Ã°£À» »ç¿ëÇÒ ¶§ ¿Âµµ »ó½Â Çѵµ ¹× ±âŸÀÇ Á¦ÇÑ¿¡ ÀúÃ˵ÇÁö ¾Ê´Â Á¤°ÝÀ» ÀǹÌÇϸç, ¹Ýº¹Á¤°ÝÀº ÁöÁ¤Á¶°Ç¿¡¼ ½ÇÁúÀûÀ¸·Î ÀÏÁ¤ÇÑ ºÎÇÏ ¹× Á¤Áö ±â°£À» ±³´ë·Î ÁÖ±âÀûÀ¸·Î ¹Ýº¹»ç¿ëÇÒ ¶§ ±Ô°Ý¿¡ Á¤ÇØÁø ¿Âµµ »ó½Â Çѵµ ¹× ±âŸÀÇ Á¦ÇÑ¿¡ ÀúÃ˵ÇÁö ¾Ê´Â Á¤°ÝÀ» ÀǹÌÇÑ´Ù. ±× ¹ÛÀÇ Á¤°ÝÀ¸·Î °øÄªÁ¤°ÝÀÌ ÀÖÀ¸³ª À̰ÍÀº Àüö¿ë ±â±â¿¡ ÇÑÇÏ¿© »ç¿ëµÇ´Â Ư¼öÇÑ °ÍÀ̹ǷΠ[Ç¥ 2.3]¿¡¼µµ ±× Àû¿ë¿¡ ´ëÇÑ ¼³¸íÀº »ý·«ÇÑ´Ù. ![]() (1) º»¼ Àý¿¬ÀÇ Á¾·ù´Â ÇØ´ç Ç× ºÎºÐÀÇ Àý¿¬ Á¾·ù¸¦ ÀǹÌÇÑ´Ù. ¿¹¸¦ µé¸é 5Ç×ÀÇ BÁ¾ Àý¿¬À̶ó¸é Á¤·ùÀÚ È¤Àº ½½¸³¸µÀÇ Àý¿¬ÀÇ Á¾·ù°¡ BÁ¾ÀÎ °ÍÀ» ÀǹÌÇϰí, ±Ç¼±Àý¿¬ÀÇ Á¾·ù°¡ BÁ¾ Àý¿¬ÀÎ °ÍÀ» ÀǹÌÇÏ´Â °ÍÀº ¾Æ´Ï´Ù. (2) ÀüÆóÇüÀ¸·Î ÇÁ·¹ÀÓ ³»ºÎÀÇ °ø±â ȤÀº °¡½º°¡ ¿ÜºÎ¿Í À¯ÅëÇÏ´Â ÀÏÀÌ ¾ø°í, °ø±â ȤÀº °¡½º ³Ã°¢±â¸¦ ³»ÀåÇÏÁö ¾Ê´Â Á÷·ù±â¿¡¼´Â *Ç¥½Ã°¡ ÀÖ´Â ¿Âµµ»ó½Â Çѵµ¸¦ º»¼ÀÇ °ªº¸´Ù 5[¡É] ³ô°Ô Á¤ÇÑ´Ù. (3) 2B ÀúÀúÇ× °èÀڱǼ±À̶ó ÇÔÀº Ãþ¼ö°¡ Àû°í, ÀúÇ×ÀÌ ÀûÀº ÀüÁÖ(îïñ²)¸¦ Àý¿¬ÇÑ °èÀڱǼ±À» ÀǹÌÇÑ´Ù. ¿¹) º¸»ó±Ç¼±, Á÷±Ç±Ç¼± 2.30 ¿Âµµ »ó½ÂÀÇ ¿¹Ãø Á÷·ù±â¸¦ ¼³°èÇÑ ÈÄ È¿À²À» ±¸ÇÏ¿© »ç¾ç¼ÀÇ ¿ä±¸¿Í ÀÏÄ¡ÇÏ´ÂÁö È®ÀÎÇÏ¿©¾ß ÇÏÁö¸¸, ƯÈ÷ Áß¿äÇÑ »çÇ×Àº ¿Âµµ »ó½ÂÀÌ ±Ô°ÝÀ» ¸¸Á·ÇÏ´ÂÁö È®ÀÎÇÏ´Â ÀÏÀÌ´Ù. ¿Âµµ »ó½ÂÀ» °è»êÇÒ ¶§ °æÇè»óÀÇ Á¤¼ö¸¦ »ç¿ëÇÏ°Ô µÇ¹Ç·Î Á¦Á¶ÀÚ¿¡ µû¶ó ¼·Î ´Ù¸¥ °æÇè½ÄÀÌ »ç¿ëµÉ ¼ö ÀÖ´Ù. ¶ÇÇÑ, ½ÇÁ¦ ¿Âµµ »ó½ÂÀº Åëdz¹æ½Ä¿¡ µû¶ó Å« Â÷À̰¡ ÀÖÀ¸¹Ç·Î ¿Âµµ »ó½ÂÀÇ °è»ê½Ä¿¡´Â Åëdz¹æ¹ýÀ» °í·ÁÇÑ Á¤¼ö°¡ »ç¿ëµÈ´Ù. ¿Âµµ »ó½Â °è»ê½Ã ¿ì¼± ³»ºÎÀÇ ¿À» ¿ÜºÎ·Î ¹ß»ê½Ã۱â À§ÇÑ Ç¥¸éÀûÀ» ±¸ÇÑ´Ù. ±×¸®°í ³»ºÎ¿¡¼ ¹ß»ýÇÏ´Â ¿·®ÀÇ ºñ¸¦ ±¸Çϸé 1WattÀÇ ¿À» ¹ß»êÇÏ´Â µ¥ ÇÊ¿äÇÑ ´Ü¸éÀû a ¸¦ ±¸ÇÒ ¼ö ÀÖ´Ù. ȸÀü±âÀÇ °æ¿ì ¼Óµµ°¡ ¹ÌÄ¡´Â ¿µÇâÀ» °í·ÁÇÏ¿© ¿©±â¿¡ (1 + 0.1v)¸¦ °öÇÑ´Ù. ¿©±â¼ v = ÁÖº¯¼Óµµ [m/s]ÀÌ´Ù. µû¶ó¼ ´Ü¸éÀû a´Â ½Ä(2.42)·Î ³ªÅ¸³¾ ¼ö ÀÖ´Ù. ![]() ¿©±â¼ C¸¦ Á¦Á¶ÀÚ¿¡ µû¶ó °æÇè»ó Á¤ÇØÁö´Â Á¤¼ö¶ó ÇÏ¸é ¿Âµµ »ó½Â ´Â ½Ä (2.43)°ú °°ÀÌ ³ªÅ¸³¾ ¼ö ÀÖ´Ù. ![]() Àü±âÀÚ¿¡ ´ëÇÑ ¿Âµµ »ó½ÂÀ» ±¸ÇÒ ¶§ ´Ü¸éÀû a ´Â [±×¸² 2.75]¿¡¼ Á¡¼±À¸·Î Ç¥½ÃµÈ ºÎºÐÀÇ ¸éÀûÀ¸·Î ÇÑ´Ù. ÀÌ °æ¿ì Àü±âÀÚÀÇ Á÷°æÀÌ 40cm ÀÌÇÏÀ̸é [±×¸² 2.75]ÀÇ (a), 40cm¸¦ ÃʰúÇÏ´Â °æ¿ì ±×¸² (b)¿Í °°ÀÌ °è»êÇÑ´Ù. ±×¸² (a)ÀÇ °æ¿ì ÄÚÀÏ´Ü ºÎºÐ¸¸À» À¯È¿ Ç¥¸éÀ¸·Î »ý°¢ÇÒ ¼ö ÀÖ´Ù. ±×¸² (b)ÀÇ °æ¿ì »óÇÏÀÇ ¸éÀû ¸ðµÎ À¯È¿ÇÑ °ÍÀ¸·Î »ý°¢ÇÒ ¼ö ÀÖÀ¸¸ç ´öÆ®´Â 2¸éÀ¸·Î 1¸éÀ» À¯È¿ÇÑ °ÍÀ¸·Î »ý°¢ÇÑ´Ù. ![]() µû¶ó¼ [±×¸² 2.75]¿¡¼ (a)ÀÇ °æ¿ì, Áï D ≤ 40cmÀÏ ¶§ ¿À» ¹ß»êÇÏ´Â ºÎºÐÀÇ ¸éÀû Aa´Â ½Ä (2.44)·Î ³ªÅ¸³¾ ¼ö ÀÖ´Ù. ![]() [±×¸² 2.75]ÀÇ (b)ÀÇ °æ¿ì, Áï D ≥ 40cmÀÏ ¶§ ¿À» ¹ß»êÇÏ´Â ºÎºÐÀÇ ¸éÀû Aa´Â ½Ä (2.45)¿Í °°ÀÌ ³ªÅ¸³¾ ¼ö ÀÖ´Ù. ![]() ¿©±â¼ LeÀÇ ±æÀÌ´Â ¾Æ·¡¿Í °°ÀÌ ³ªÅ¸³¾ ¼ö ÀÖ´Ù. ![]() ÇÏÁö¸¸ k1 = 0.45À¸·Î ½Ä (2.17)ÀÇ k¿Í ´Ù¸£´Ù. ÁÖº¯¼Óµµ Va¿¡¼ Àü±âÀÚ aa´Â ½Ä (2.46)°ú °°ÀÌ ³ªÅ¸³¾ ¼ö ÀÖ´Ù. ![]() ¶ÇÇÑ, Àü±âÀÚ ¿Âµµ»ó½Â Ta´Â ½Ä (2.47)·Î ³ªÅ¸³¾ ¼ö ÀÖ´Ù. ![]() ¿©±â¼ Ca = 400~500 »çÀÌÀÇ Á¤¼öÀ̸ç, Ưº°È÷ Àü±âÀÚ¿¡ ÅëdzÀ» À§ÇÑ ÆÒÀÌ ¼³Ä¡µÇÁö ¾ÊÀ» ¶§ ÀÌ °ªÀ» Àû¿ëÇÑ´Ù. Á¤·ùÀÚ¿¡ ÀÖ¾î¼ ¿À» ¹ß»êÇϴ ǥ¸éÀûÀº πDclkÀ̸ç, ¿©±â¼ Dc´Â Á¤·ùÀÚÀÇ Á÷°æ, lk´Â [±×¸² 2.50]¿¡ ³ªÅ¸³½ ¹Ù¿Í °°ÀÌ Á¤·ùÀÚÀÇ À¯È¿ ±æÀÌÀÌ´Ù. ÁÖº¯¼Óµµ¸¦ Vc¿¡¼ Á¤·ùÀÚ a¸¦ ac·Î ³ªÅ¸³»¸é ½Ä (2.48)°ú °°ÀÌ ³ªÅ¸³¾ ¼ö ÀÖ´Ù. ![]() Àü±âÀÚÀÇ ¿Âµµ»ó½Â Tc´Â ½Ä (2.49)¿Í °°ÀÌ ³ªÅ¸³¾ ¼ö ÀÖ´Ù. ![]() ¿©±â¼ Cc = 70 ~ 120 Á¤µµ·Î ÇÑ´Ù. °èÀڱǼ±ÀÇ °æ¿ì [±×¸² 2.76]°ú °°ÀÌ Ç¥¸éÀûÀ¸·Î Ãø¸é ¹× ¹Ù´Ú¸é¸¸À» °è»êÇÑ´Ù. À̸¦ Af¶ó Çϰí Á¤·ùÀÚ a¸¦ af·Î ³ªÅ¸³»¸é ½Ä (2.50)°ú °°ÀÌ ³ªÅ¸³¾ ¼ö ÀÖ´Ù. ![]() ¿Âµµ»ó½Â Tf´Â ½Ä (2.51)°ú °°ÀÌ ³ªÅ¸³¾ ¼ö ÀÖ´Ù ![]() ¿©±â¼ Tf´Â ÀúÇ×¹ýÀ¸·Î ÃøÁ¤ÇÑ °ÍÀ̸ç, Cf´Â ´ÙÀ½°ú °°ÀÌ µÈ´Ù.
< Energy News > |
|||
















