Áñ°Üã±â µî·Ï RSS 2.0
Àå¹Ù±¸´Ï ÁÖ¹®³»¿ª ·Î±×ÀΠȸ¿ø°¡ÀÔ ¾ÆÀ̵ð/ºñ¹Ð¹øÈ£ ã±â
home
´ë¿ë·®Çü ¼ø°£ Àü¾ÐÀúÇÏ¡¤Á¤Àü´ëÃ¥ ÀåÄ¡ÀÇ °³¹ß
2005-01-25 ¿ÀÈÄ 6:32:00


ÀÌ ¿ø°í´Â ÀϺ» ¡¶ï³Ñ¨úÞíÞÐüâú¡·ò¼¿¡¼­ ¹ø¿ª ÀüÀçÇÑ °ÍÀÔ´Ï´Ù.

´ë¿ë·®Çü ¼ø°£ Àü¾ÐÀúÇÏ¡¤Á¤Àü´ëÃ¥ ÀåÄ¡ÀÇ °³¹ßÈ£Äí¸®ÄíÀü·Â(ÝÁ×Áï³Õô)_ÇÏŸ³ªÄ« ÄÚÁö(ñé ûÇÞË)

ÃÖ±Ù µðÁöÅÐ Á¦¾î±â¼úÀÇ ¹ß´Þ°ú ÆÄ¿öÀÏ·ºÆ®·Î´Ð½ºÀÇ Áøº¸´Â °¢Á¾ »ý»ê¼³ºñÀÇ °í¼º´ÉÈ­¡¤°íÈ¿À²È­¸¦ ÀÌ·ç¾ú´Ù. ¹Ý¸é À̰ÍÀº Àü¿øÀÇ ÀÌ»ó¿¡ ´ëÇØ ¸Å¿ì ¹Î°¨ÇÏ°í ¾î´À Á¤µµ ¼ø°£Àü¾ÐÀúÇÏ(ÀÌÇÏ, ¼øÀú)¿¡µµ ¿µÇâÀ» ¹Þ´Â °æÇâÀÌ ÀÖ´Ù.

Á¾·¡ºÎÅÍ ÄÄÇ»ÅÍ µîÀÇ Á¤Àü¡¤¼øÀú´ëÃ¥À¸·Î¼­ UPS°¡ ÀÌ¿ëµÇ¾î ¿Ô´Âµ¥ °¢Á¾ »ý»ê¼³ºñ¿¡ ´ëÇØ ÀÌ¿ëÇÒ °æ¿ì, ¹ü¿ë UPSÀÇ ¿ë·®ÀÌ ºñ±³Àû À۱⠶§¹®¿¡ ´Ù¼öÀÇ UPS¸¦ ºÐ»êÇØ¼­ ¼³Ä¡ÇØ¾ß ÇÏ°í º¸¼ö½Ã ¹ø°Å·Ó°í UPSÀÇ Àü·Â¼Õ½Çµµ Å©´Ù´Â µîÀÇ °úÁ¦°¡ ÀÖ¾ú´Ù. ±×·¡¼­ Ưº°°í¾Ð¼öÀü °øÀå µî¿¡¼­´Â °í¾Ð ÇÇ´õ ´ÜÀ§·Î, °í¾Ð¼öÀü °øÀå µîÀº °øÀåÀ» ÀϰýÀûÀ¸·Î º¸»ó °¡´ÉÇÑ ¿ë·®°ú UPS¿Í °°ÀÌ ¾çÈ£ÇÑ Àü·ÂǰÁúÀ» °®À» ¼ö°¡ ÀÖ°í Àü·Â¼Õ½Çµµ ÀûÀº °íÈ¿À² ¼øÀú¡¤Á¤Àü´ëÃ¥ ÀåÄ¡¸¦ °³¹ßÇÏ¿´±â¿¡ ¼Ò°³Çϱâ·Î ÇÑ´Ù.

°³¹ß ¹è°æ 

´ç»ç´Â ³úÇØ³ª ºù¼³ÇØ¿¡ µû¸¥ ¼ÛÀü¼± °¶·¯ÇÎ Çö»óÀ¸·Î ¹ß»ýÇÏ´Â ¼øÀú¡¤Á¤Àü¿¡ ´ëÇØ¼­ Àü·Â¼³ºñ¿¡ ´ëÇÑ ÇǷڱ⼳ġ³ª ¼ÛÀü¼±¿¡ »ó°£ ½ºÆäÀ̼­ÀÇ ¼³Ä¡¿¡ µû¶ó È¿°ú¸¦ ¿Ã·Á¿Ô´Âµ¥, ¼øÀú¡¤Á¤ÀüÀÇ ¹ß»ýÀ» ¹«½ÃÇϱâ¶õ ÇöÀçÀÇ ±â¼ú·Î´Â ºÒ°¡´ÉÇÏ´Ù.

ÇÑÆí, ¹ÝµµÃ¼ °øÀå µî¿¡¼­´Â »ý»ê¼³ºñÀÇ °íµµÈ­¿Í Àç°í°¡ ¹ß»ýÇÏÁö ¾Ê´Â ¼öÁÖ¿¡¼­ ³³Ç°±îÁö°¡ ½ºÄÉÁÙ °ü¸®µÈ »ý»ê¹æ½ÄÀÌ ÁÖ·ù°¡ µÊ¿¡ µû¶ó ¾à°£ÀÇ ¼øÀú¶óµµ °£´ÜÇÏ°Ô ºÒ·®Ç°ÀÇ ¹ß»ý¿¡ ¸Ó¹«¸£Áö ¾Ê°í »ý»ê±âȸ ¼Õ½Ç·Î ¸·´ëÇÑ ¼ÕÇØ¸¦ ÀÔ´Â °ÍÀÌ´Ù.

±×·¡¼­ ´ç»ç´Â ¸¶Ã÷½ÃŸÀü±â»ê¾÷(ÁÖ), ´Ö½ÅÀü±â(ÁÖ)¿Í ÇÔ²² ´ë¿ë·®Çü ¼ø°£Àü¾ÐÀúÇÏ¡¤Á¤Àü´ëÃ¥ÀåÄ¡(ÀÌÇÏ, ´ë¿ë·®Çü ¼øÀú¡¤Á¤Àü´ëÃ¥ÀåÄ¡)¸¦ °³¹ßÇß´Ù.

´ë¿ë·®Çü ¼øÀú¡¤Á¤Àü´ëÃ¥ÀåÄ¡ 

1. °³¹ß ¸ñÇ¥¼º´É

¨ç ºÎÇÏÃø ¿µÇâÀ» ¾ø¾Ö±â À§ÇØ ¼øÀú¡¤Á¤Àü¹ß»ý½ÃÀÇ ºÎÇÏÃø Àü¾ÐÀº ¹«¼ø´ÜÀ¸·Î ÇÑ´Ù.

¨è ÀåġȿÀ²Àº »ó½Ã ÀιöÅÍ ±ÞÀü¹æ½Ä UPS(¾à 90%)¿Í ºñ±³Çؼ­ ´ëÆøÀûÀÎ Çâ»óÀ» µµ¸ðÇÑ´Ù.

¨é °í¾Ð ÇÇ´õ´ÜÀ§·Î º¸»ó°¡´ÉÇÑ ¿ë·®À¸·Î ÇÑ´Ù.

2. ´ë¿ë·®Çü ¼øÀú¡¤Á¤Àü´ëÃ¥ ÀåÄ¡ÀÇ °³¿ä

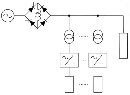
ÀÌ ÀåÄ¡ÀÇ ±âº»È¸·Î¸¦ <±×¸² 1>¿¡ ³ªÅ¸³½´Ù.

ÃÖ´ë Æ¯Â¡Àº ±³Ã¼½ºÀ§Ä¡¿¡ °í¼ÓÇÑ·ùÂ÷´ÜÀåÄ¡¸¦ ¼³Ä¡ÇØ µÎ¾ú´Ù´Â Á¡À¸·Î ÀÌ´Â ¹«¼ø´Ü º¸»óÀ» °¡´ÉÇÏ°Ô ÇÑ´Ù.

°í¼ÓÇÑ·ùÂ÷´ÜÀåÄ¡´Â <±×¸² 2>¿Í °°ÀÌ Á÷·ù ¸®¾×ÅÍ¿Í »çÀϸ®½ºÅÍ ¾Ï, ´ÙÀÌ¿Àµå ¾ÏÀ¸·Î ÀÌ·ç¾îÁø´Ù.

´ÜÀÚ A-B »çÀÌ¿¡ ±³·ùÀü·ù¸¦ È긮¸é Àü·ù´Â Á¤ÀÇ ¹Ý »çÀÌŬÀº ¾Ï 1~Á÷·ù¸®¾×ÅÍ~¾Ï 4¸¦, ºÎÀÇ ¹Ý»çÀÌŬÀº ¾Ï 3~Á÷·ù¸®¾×ÅÍ~¾Ï 2¸¦ Èê·¯ Á÷·ù ¸®¾×ÅÍ¿¡´Â ±³·ùÀü·ù ÆÄ°íÄ¡¿Í °°Àº Å©±âÀÇ Á÷·ùÀü·ù°¡ È帥´Ù.

À̷νá Åë»ó½ÃÀÇ Àû¿ë±ÞÀüÀº °í¼ÓÇÑ·ù Â÷´ÜÀåÄ¡ÀÇ ±³·ùÃø¿¡¼­ º» ÀÓÇÇ´ø½º°¡ 0ÀÎ »óŰ¡ µÈ´Ù.

±×·¯³ª Àü¿øÃø(°èÅëÃø)¿¡ ¼øÀú°¡ ¹ß»ýÇϸé ÀÌ ÀåÄ¡´Â ºÎÇÏÃø Àü¾ÐÀ» ÀÏÁ¤ÇÏ°Ô À¯ÁöÁ¦¾îÇϱâ À§Çؼ­ ½Ö¹æÇâ ÄÁ¹öÅÍ¿¡¼­ °í¼ÓÇÑ·ùÂ÷´ÜÀåÄ¡¸¦ ÅëÇØ¼­ °èÅëÀÇ °íÀåÁ¡¿¡ Àü·ù°¡ È帣±â ½ÃÀÛÇÑ´Ù. ±× °ªÀº Åë»ó½ÃÀÇ Á÷·ù ¸®¾×Å͸¦ È帣°í ÀÖ´Â Àü¿ø°ªÀ» ³Ñ¾î Áõ°¡Çϱ⠶§¹®¿¡ °í¼ÓÇÑ·ù Â÷´ÜÀåÄ¡ÀÇ Á÷·ù ¸®¾×ÅÍ¿¡ ÀÇÇÑ ÇÑ·ùÀÛ¿ëÀÌ ÀϾ°í °íÀåÁ¡À¸·ÎÀÇ Àü·ù°ø±ÞÀ» Á¦¾îÇÑ´Ù.

¶Ç °í¼Ó ¼øÀú°ËÃâ·Î »çÀϸ®½ºÅÍ Á¤ÁöÁö·É(°ÔÀÌÆ® ½ÅÈ£ ¿ÀÇÁ)ÀÌ ³ª¿À±â ¶§¹®¿¡ Àü·ù 0Á¡À» ¾ïÁ¦ÇÑ ½ÃÁ¡¿¡¼­ °íÀåÁ¡À¸·ÎÀÇ Àü·ù°ø±ÞÀÌ Â÷´ÜµÈ´Ù. »çÀϸ®½ºÅͰ¡ ¿ÏÀüÈ÷ ¿ÀÇÁµÇ±â±îÁöÀÇ »çÀÌ¿¡ ½Ö¹æÇâ ÄÁ¹öÅͰ¡ ¹ß»ýÇÑ Àü¾ÐÀ» ½Ö¹æÇâ ÄÁ¹öÅÍ ³»ºÎ¿¡ ¼³Ä¡ÇÑ ±³·ù ¸®¾×ÅÍ¿Í °í¼ÓÇÑ·ùÂ÷´ÜÀåÄ¡ÀÇ Á÷·ù ¸®¾×ÅÍ·Î ºÐ´ãÇÔÀ¸·Î½á ºÎÇÏÃø Àü¾ÐÀ» À¯ÁöÇÑ´Ù.

ÇÑ·ùÂ÷´ÜÀåÄ¡ÀÇ »çÀϸ®½ºÅͰ¡ ¿ÏÀüÈ÷ ¿ÀÇÁµÇ¾î ÁÖȸ·Î¿Í Àü¿ø°èÅëÀ» ºÐ¸®Çϱâ±îÁö ÃÖÀå 3/4 »çÀÌŬÀÌ ÇÊ¿äÇѵ¥, ±× »çÀÌ¿¡µµ °í¼ÓÇÑ·ù µ¿ÀÛ¿¡ µû¶ó ºÎÇÏÃâ·ÂÀü¾ÐÀÌ À¯ÁöµÇ¾î ºÎµå·´°Ô ½Ö¹æÇâ ÄÁ¹öÅÍ ÀÚ¸³¿îÀüÀ¸·Î ÀÌÇàÇÑ´Ù. Àü¿ø°èÅëÀÌ ¼øÀú µÚ¿¡ Á¤ÀüµÇ¾úÀ» °æ¿ì¿¡´Â ½Ö¹æÇâ ÄÁ¹öÅÍÀÇ ÀÚ¸³¿îÀüÀ» °è¼ÓÇØ¼­ º¹ÀüÀ» À¯ÁöÇÑ´Ù. ¼øÀú¸¦ µ¿¹ÝÇÏÁö ¾Ê´Â Á¤Àü(´Ü¼ø¹æÀü)ÀÇ °æ¿ì¿¡µµ ½Ö¹æÇâ ÄÁ¹öÅÍ Ãâ·ÂÀ¸·Î ºÎÇÏÃâ·ÂÀü¾ÐÀÌ À¯ÁöµÈ´Ù.

±× ÈÄ, Àü¿ø°èÅëÀÇ º¹ÀüÀ» È®ÀÎÇÏ¸é ½Ö¹æÇâ ÄÁ¹öÅÍ´Â À§»óµ¿±âÁ¦¾î ÈÄ¿¡ °í¼ÓÇÑ·ùÂ÷´ÜÀåÄ¡ÀÇ »çÀϸ®½ºÅÍ µµÅëÁö·É(°ÔÀÌÆ® ½ÅÈ£ ¿Â)¿¡ µû¶ó »ó¿ë±ÞÀüÀ¸·Î µ¹¾Æ°£´Ù.

ÀÌ ÀåÄ¡ÀÇ ±¸¼ºÀº 1ÀåÄ¡ Àüü¸¦ ÃѰýÇØ Àü¼úÇÑ °í¼ÓÇÑ·ùÂ÷´ÜÀåÄ¡¸¦ ¼ö¿ëÇÏ´Â ¸¶½ºÅÍ À¯´Ö<±×¸² 3> ¹× 2,000[kVA] ´ÜÀ§ÀÇ ½Ö¹æÇâ ÄÁ¹öÅÍ¿Í ÃàÀüÁö¸¦ ¼ö³³ÇÏ´Â ½½¸®ºê À¯´Ö<±×¸² 4>¿¡ µû¶ó ±¸¼ºµÈ´Ù. ÀÌ ÀåÄ¡´Â »ç¿ë°³¼Ò ¼ö¿ä·Î ¼³Ä¡¿ë·® 10,000kVA£«6,000kVAÀÇ Ãѿ뷮 16,000kVA°¡ ÇÊ¿äÇß´Ù. ±âÁ¸¿¡ Á¦Ç°È­µÈ °í¼ÓÇÑ·ùÂ÷´ÜÀåÄ¡ÀÇ Á¤°ÝÀü·ù°¡ 600A¿´±â ¶§¹®¿¡ ´çÀå Á¦Ç°È­ÇÒ ¼ö ÀÖ´Â ÀåÄ¡¿ë·® »óÇÑÀÌ 6,000kVA·Î Á¦¾àµÇ°í (6,000kVA£«4,000kVA)£«6,000kVA·Î Çß´Ù.

¶ÇÇÑ 6,000kVA ÀåÄ¡ÀÇ °æ¿ì¿¡´Â ¸¶½ºÅÍ À¯´Ö 1Á¶¿¡ ´ëÇØ ½½¸®ºê À¯´Ö(2,000kVA) 3Á¶¸¦ º´·ÄÁ¢¼ÓÇÏ°í ¶Ç 4,000kVA ÀåÄ¡ÀÇ °æ¿ì¿¡´Â ¸¶Âù°¡Áö·Î ½½¸®ºê¹Ý(2,000kVA) 2Á¶¸¦ º´·ÄÁ¢¼ÓÇØ¼­ ÀåÄ¡¸¦ ±¸¼ºÇϰí ÀÖ´Ù.

ÀÌ ÀåÄ¡´Â »ó½Ã»ó¿ë ±ÞÀü¹æ½ÄÀ¸·Î »ó½Ã ´ë±â»óÅ¿¡¼­ÀÇ ¼Õ½ÇÀ» ¾ïÁ¦Çϰí ÀÖ´Ù. ÀåÄ¡ÀÇ »ç¾ç°³¿ä¸¦ <Ç¥ 1>¿¡ ³ªÅ¸³½´Ù.

3. ÀåÄ¡ÀÇ À¯ÀÇÁ¡

ÀåÄ¡ÀÇ Æ¯Â¡À¸·Î °íÈ¿À²È­°¡ ÀÖ´Ù. ±×·¯³ª ÀåÄ¡¿ë·®ÀÌ ¸Å¿ì Ä¿¼­ ¼Õ½Ç¿¡ µû¸¥ ¹ß¿­À» »ý°¢ÇØ¾ß Çß´Ù. ±×·¡¼­ ´çÃÊ, ¿Á¿Ü¼³Ä¡·Î Æó¿­À» Á÷Á¢ ´ë±â·Î ¹æÃâÇÏ´Â °ÍÀ» »ý°¢ÇßÁö¸¸ °­¼³±â¿¡ Àû¼³·Î ÀÎÇØ ÀåÄ¡ Èí±â±¸°¡ ¸·Çô ³»ºÎ ¿Âµµ°¡ »ó½ÂÇØ ÀåÄ¡°¡ Á¤ÁöµÇ´Â °ÍÀ» ¿°·ÁÇØ ¿Á³»¼³Ä¡·Î Çß´Ù.

´Ü, À̹ø¿¡´Â ¼³Ä¡°ø°£ÀÌ ÇÑÁ¤µÇ¾î ÀÖ¾ú±â ¶§¹®¿¡ ¼ö¿ë°Ç¿ÁÀ» ÀÌÃþ°Ç¹°·Î Çϰí ÀåÄ¡¿¡ ´ëÇØ ´ÙÀ½°ú °°Àº óġ¸¦ ½Ç½ÃÇß´Ù.

¨ç ½½¸®ºê À¯´Ö, °í¾Ðº¯¾Ð±â¸¦ À¯´ÖÀÇ Ãø¸é»ðÀÔÀÎÃâ ±¸Á¶·Î Çß´Ù.

¨è °¢ ¹Ý ¹®À» °³¹æ¹æÇâÀ¸·Î ª°Ô Çϱâ À§ÇØ °üÀ½±¸¸ÛÀ» ¶ÕÀ½.

¨é Á÷°¢ À̵¿°¡´ÉÇÑ °í¾Ð CB ÀÎÃâ¿ë ¸®ÇÁÅÍ Ã¤¿ë.

¨ê °Ç¹°ÀÇ º®¸é, Èí±â °¶·¯¸®¿Í Á¢±ÙÇØ¼­ ¼³Ä¡°¡ ÇÊ¿äÇϱ⠶§¹®¿¡ ¹æÀû»ç¾çÈ­.

ÀÌ»ó, ¨ç~¨é¿¡ µû¶ó À¯´Ö Àü¡¤ÈĸéÀÇ º¸¼ö °ø°£Àº 1,100mm¸¦ ½ÇÇöÇϰí ÀÖ´Ù. ¨ê´Â ÅäÅÐ ¼³Ä¡°ø°£À» ÀÛ°Ô Çϱâ À§ÇÑ Ã³Ä¡À̱ä ÇØµµ °Ç¹°ÀÇ ¿¡¾îÄܸ®½ºÈ­(Àüµ¿¹è±â ÆÒÀ» ÀÌ¿ëÇÑ °­Á¦È¯±â)·Î ½Ã½ºÅÛ ÀüüÀÇ ¿¡³ÊÁöÀý°¨¿¡ ±â¿©Çϰí ÀÖ´Ù.

ÀÌ ÀåÄ¡ÀÇ Á¤Àüº¸»ó½Ã°£Àº Á¤°Ý¿ë·®¿¡¼­ ÀåÄ¡ÁÖÀ§¿Âµµ 5¡ÉÀÏ ¶§ 10ÃÊ´Ù. ÀÌ ½Ã°£Àº ÃàÀüÁö ¼º´É¿¡ Å©°Ô Á¿ìµÈ´Ù. ±¸Ã¼ÀûÀ¸·Î´Â ºÎÇÏÀ²°ú ÃàÀü±â ÁÖÀ§¿Âµµ·Î º¯È­ÇÑ´Ù.

¿¹¸¦ µé¾î ºÎÇÏÀ² 80%¿¡¼­´Â ÁÖÀ§¿Âµµ°¡ 5¡É¶óµµ Á¤Àüº¸»ó½Ã°£ÀÌ 120ÃÊ, ¶Ç Á¤°Ý¿ë·®¿¡¼­ ÁÖÀ§¿Âµµ°¡ 20¡É°¡ µÇ¸é Á¤Àüº¸»ó½Ã°£Àº 60Ãʰ¡ µÈ´Ù.

À̹ø¿¡´Â ÁÖÀ§¿Âµµ¸¦ ÀûÁ¤ÇÏ°Ô À¯ÁöÇϱâ À§ÇÑ ´ëÃ¥À» °Ç¹°Ãø¿¡¼­ ½ÃÇàÇß´Ù.

¨ç ÀÌ ÀåÄ¡ »óºÎ¿¡¼­ ¹æÃâµÇ´Â Æó¿­À» ³ôÀº È¿À²·Î ¸ð¾Æ ¹è±âÇÏ·Á¸é ÀåÄ¡ »óºÎ¿¡ Èĵ带 ¼³Ä¡Çϰí ÈÄµå ³»ºÎ¿¡ ¿Âµµ¼¾¼­¸¦ ¼³Ä¡ÇØ Áß°£ ´öÆ® ÆÒÀ» Á¦¾îÇÏ°í ³ôÀº È¿À²·Î Æó¿­Ã³¸®ÇÑ´Ù.

¨è Èí±â °¶·¯¸®¸¦ °¡µ¿ ·ç¹ö ¹æ½ÄÀ¸·Î ÇÏ°í ¿ÜºÎ¿Âµµ°¡ ³·Àº µ¿Àý±â¿¡´Â ·ç¹ö¸¦ ´Ý¾Æ ÇÊ¿ä ÀÌ»óÀÇ ¿ÂµµÀúÇϸ¦ ¹æÁöÇÑ´Ù.

À̵é óġ¿¡ µû¶ó ÀåÄ¡ ¼º´ÉÀ» È®½ÇÇÏ°Ô ¹ßÈÖÇÒ °ÍÀ¸·Î ¿¹»óµÈ´Ù.

4. ´ë¿ë·®Çü ¼øÀú¡¤Á¤Àü´ëÃ¥ ÀåÄ¡ÀÇ ½ÃÇè

½ÃÇèÇ׸ñ ¹× ¹æ¹ýÀº JEC, JEM¿¡ ÁذÅÇØ¼­ ½Ç½ÃÇÏ´Â ¿Ü¿¡ ´Ü¶ô¹ßÀü±â¸¦ ÀÌ¿ëÇØ¼­ ¼øÀúÁ¤ÀüÇö»óÀ» ¸ðÀÇÇÑ Á¾ÇÕµ¿ÀÛ½ÃÇè ¹× ÇöÁö¼³Ä¡½ÃÀÇ ½ÇÁ¦¸¦ °í·ÁÇÑ ´ÙÁß ³úº¸»ó µ¿ÀÛ½ÃÇè, º¸»óÇѰè½ÃÇèÀ» ½ÃÇàÇØ ÀåÄ¡±â´ÉÀ» °ËÁõÇß´Ù.

±×¸®°í ¼øÀú°¡ ¹ß»ýÇßÀ» ¶§ ½Ö¹æÇâ ÄÁ¹öÅÍ¿¡¼­ »ó¿ë°èÅëÃø °íÀåÁ¡¿¡ È帣´Â Àü·ù°¡ °í¼ÓÇÑ·ùÂ÷´ÜÀåÄ¡ÀÇ Á÷·ù ¸®¾×ÅÍ Àü·ù(Á÷ÀüÀÇ ºÎÇÏÀü·ù °ª°ú µ¿µîÇÑ)º¸´Ù Ä¿ÁöÁö ¾ÊÀ¸¸é ÇÑ·ùÈ¿°ú¸¦ ±â´ëÇÒ ¼ö ¾ø°í º¸»óÀü¾Ð È®¸³±îÁö ¾à°£À̱ä ÇØµµ ½Ã°£ÀÌ ´Ê¾îÁö´Â Çö»óÀÌ ³ªÅ¸³­´Ù´Â »ç½ÇÀÌ ÆÇ¸íµÇ¾ú´Ù. ÀÌ´Â ¼øÀú°¡ ¹ß»ý½Ã º¸»óÀü¾Ð¿¡ ¾à°£ÀÇ µöÀÌ µÇ¾î ³ªÅ¸³­´Ù. ÀÌ µö Ãà¼Ò¸¦ À§ÇØ ÀåÄ¡ Æ©´×À» ½ÃÇàÇÑ °á°ú, 3»ó ´Ü¶ô°íÀå 100% Àü¾ÐÀúÇϽÿ¡µµ Àü¾Ð µö ÀÜÁ¸Àü¾Ð 50%(ÀåÄ¡¼³Ä¡°èÅë¿¡¼­ º¯È­), µö Æø 1ms ÀÌÇÏ·Î ÇÏ´Â µ¥ ¼º°øÇß´Ù.

5. ÇöÁö °¡µ¿»óȲ

ÀÌ ÀåÄ¡´Â ¸¶Ã÷½ÃŸÀü±â(ÁÖ) ¹ÝµµÃ¼»ç ¿ì¿ÀÁî°øÀå¿¡ ¼³Ä¡ÇØ 2004³â 4¿ùºÎÅÍ °¡µ¿¿¡ µé¾î°¬´Ù.

ÇöÀç±îÁö 24ȸÀÇ ¼øÀú¹ß»ý¿¡ ´ëÇØ ¸ðµç ÄÉÀ̽º¿¡¼­ ÇØ´ç ÀåÄ¡¸¦ º¸»óµ¿ÀÛÀ» ½ÃÇàÇߴµ¥, »ý»ê¼³ºñ¿¡¼­ ¼øÀúÇÇÇØ°¡ ¹ß»ýÇÏÁö ¾Ê´Â´Ù. ¼øÀú°¡ ¹ß»ýÇÑ ÄÉÀ̽º Áß¿¡´Â 1ȸ°ÀÇ ¼ø¼­¿¡¼­ ÀÌ ÀåÄ¡°¡ º¸»óµ¿ÀÛÇÏ°í ¿Ï·áÁ÷Àü¿¡ 2ȸ°ÀÇ ¼øÀú°¡ ¹ß»ýÇÏ´Â ´ÙÁß ³ú ÄÉÀ̽ºµµ ÀÖ¾úÁö¸¸ º¸»óµ¿ÀÛÀÌ °è¼ÓµÇ¾î »ý»ê¼³ºñÀÇ ±¸Á¦¿¡ ¼ºµ¿Çß´Ù. º¸»óµ¿ÀÛ ÆÄÇüÀÇ ÀϷʸ¦ <±×¸² 5>¿¡ ³ªÅ¸³½´Ù. º¸»ó°èÅëÃø 3»ó ´Ü¶ô°íÀå¿¡ µû¸¥ °íÀå°è¼Ó½Ã°£ 73.2ms, Àü¾ÐÀúÇÏÀ² 51%ÀÇ ¼øÀú¿¡ ´ëÇÑ º¸»óµ¿ÀÛÀÌ´Ù.

ÇöÀåÀû¿ëÀÇ Æ÷ÀÎÆ® 

ÀÌ ÀåÄ¡´Â ³ôÀº Àü¿øÇ°ÁúÀÌ ¿ä±¸µÇ´Â ¹ÝµµÃ¼ °øÀå¿¡¼­ÀÇ º¸»óµ¿ÀÛÀ» ÅëÇØ ¼º´ÉÀ» È®ÀÎÇÒ ¼ö ÀÖ¾ú´Ù. ¶ÇÇÑ °í¾Ð ÇÇ´õÀÇ Àϰýº¸»óÀ¸·Î ¸ñÀûÀÌ µÇ´Â ¶óÀÎÀ» ±¸¸Û¸¶´Ù Ä¿¹öÇÒ ¼öµµ ÀÖ°í Àü¿øÇ°Áú ±¸ºÐÀÌ ÀÌ·ç¾îÁöÁö ¾Ê´Â ÇöÀå¿¡¼­µµ Àû¿ëÀÌ ¿ëÀÌÇÏ´Ù.

¿¬ÃàÀüÁö´Â ¿¡³ÊÁö ÃàÀû¼ÒÀÚ·Î Áö±Ý±îÁö »ç¿ëµÇ¾î ¿Â ½Å·Ú¼ºµµ ÀÖ°í ÀûÁ¤ÇÑ ¸®»çÀÌŬ¿¡ µû¶ó ȯ°æ¿¡ ´ëÇÑ ¾Ç¿µÇâµµ ÁÖÁö ¾Ê´Â´Ù. À̹ø¿¡ »ç¿ëÇÑ °íÃâ·Â MSEÇü ¿¬ÃàÀüÁöÀÇ ±â´ë¼ö¸íÀº 7~9³â(25¡É¿¡¼­)À̱⠶§¹®¿¡ ÀåÄ¡±â´ë¼ö¸íÀÇ ¾à 15³âÀ» °í·ÁÇÏ¸é »ç¿ë±â°£ Áß¿¡ 1ȸÀÇ ±³È¯ÀÌ ÇÊ¿äÇÏ´Ù.

<Energy News>
http://www.energy.co.kr

¼­¿ï¸¶Æ÷±¸ ¼º»ê·Î 124, 6Ãþ(¼º»êµ¿,´ö¼ººôµù)
TEL : 02-323-3162~5  |  FAX : 02-322-8386
Á¤±â°£Ç๰µî·Ï¹øÈ£ : ¸¶Æ÷ ¶ó00108  |  Åë½ÅÆÇ¸Å¾÷½Å°í¹øÈ£ : ¸¶Æ÷ Åë½Å Á¦ 1800È£
°³ÀÎÁ¤º¸°ü¸®Ã¥ÀÓÀÚ : °­Ã¢´ë ÆÀÀå (02-322-1201)

COPYRIGHT 2013 JEONWOO PUBLISHING Corp. All Rights Reserved.
Family Site
³×À̹ö Æ÷½º
ȸ»ç¼Ò°³  |  ¸Åü¼Ò°³  |  Á¤±â±¸µ¶¼¾ÅÍ  |  »ç¾÷Á¦ÈÞ  |  °³ÀÎÁ¤º¸Ãë±Þ¹æÄ§  |  ÀÌ¿ë¾à°ü  |  À̸ÞÀÏÁÖ¼Ò ¹«´Ü¼öÁý °ÅºÎ  |  ³×À̹ö Æ÷½ºÆ®  |  ¨Ï Àü¿ì¹®È­»ç