[Àü·Â°èÅë Çö»ó°ú º¸È£·¾ïÁ¦ ´ëÃ¥ ¨è] Á¤ÁöÇü ¸±·¹ÀÌ¿ÍÀÇ °úÀü·ù º¸È£ ÇùÁ¶
¹èÀü¼± ¿ë·®ÀÇ ´ëÇüÈ¿Í ÇÔ²² ÃÖ±Ù ¹èÀü¿ë º¯Àü¼Ò»Ó¸¸ ¾Æ´Ï¶ó, ¼ö¿ë°¡¿¡¼µµ µðÁöÅÐ ¸±·¹ÀÌÀÇ º¸±ÞÀÌ È°¹ßÇÏ°Ô ÀÌ·ç¾îÁö°í ÀÖ´Ù. ¿©±â¿¡´Â ±âÁ¸ÀÇ À¯µµ ¿ø¹ÝÇü¿¡ ºñÇØ ´Ù¾çÇÑ Á¤Á¤(ïÚïÒ)ÀÌ °¡´ÉÇϰí ÇùÁ¶ °ËÅä°¡ ¿ëÀÌÇÏ´Ù´Â ÀåÁ¡ÀÌ ÀÖÁö¸¸, º¸È£ÇùÁ¶¸¦ È®½ÇÈ÷ Á¤¸®ÇصÎÁö ¾ÊÀ¸¸é ºÒÇÊ¿äÇÑ µ¿ÀÛ µî ¿¹±âÄ¡ ¸øÇÑ Æ®·¯ºíÀÌ ÃÊ·¡µÇ±âµµ ÇÑ´Ù. º»°í¿¡¼´Â µðÁöÅÐ ¸±·¹À̸¦ ÀüÁ¦·Î ÇÑ µµÄìÀü·Â °ü³»ÀÇ ¹èÀü¿ë º¯Àü¼Ò OCR°ú ºñ±³Àû ´ëÇüÀÇ °í¾Ð¼ö¿ë°¡ ¼öÀü¿ë OCR °£ÀÇ ÇùÁ¶ °³³äÀ» Áß½ÉÀ¸·Î ±× °³¿ä¸¦ ¼Ò°³ÇÑ´Ù.
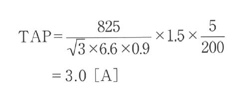
¹ø¿ª·Á¤¸® ±è´ë±Ù ±âÀÚ Àü·Âȸ»çÀÇ ¹ßÀü¼Ò¿¡¼ ¹ßÀüµÈ Àü·ÂÀº °Å´ëÇÑ ¼ÛÀü°èÅë°ú ¹èÀü°èÅëÀ» °ÅÃÄ °¢ ¼ö¿ë°¡·Î °ø±ÞµÇ°í ÀÖ´Ù. Ư°í ¼ö¿ë°¡, °í¾Ð ¼ö¿ë°¡, ÀÏ¹Ý Àú¾Ð ¼ö¿ë°¡ µî ¸ðµç ¼ö¿ë°¡´Â ÀÌ °Å´ëÇÑ Àü·Â½Ã½ºÅÛÀ¸·Î ÅëÇÕµÇ¾î ½Ç½Ã°£ ¿¬°èµÈ´Ù. °í¾Ð ¼ö¿ë°¡´Â Àü·Âȸ»çÀÇ ¹èÀü¼±¿¡ ¿¬°áµÇ¾î Àֱ⠶§¹®¿¡ ¼ö¿ë°¡ ±¸³»¿¡¼ ¹ß»ýÇÑ Àü±â»ç°í¸¦ ±¸³»¿¡¼ Â÷´ÜÇÏÁö ¾ÊÀ¸¸é ¹èÀü¿ë º¯Àü¼ÒÀÇ ÇÇ´õ(¼ÛÃâ) Â÷´Ü±â(VCB)¸¦ Æ®¸³½ÃÄÑ ´Ù¸¥ ¼ö¿ë°¡¿¡ Á¤ÀüÀ» ÆÄ±Þ½ÃŲ´Ù. ±× »çȸÀû ¼ÕÇØ´Â ¸·´ëÇÏ´Ù. À̸¦ ¹æÁöÇϱâ À§Çؼ´Â Àü±â»ç°í¸¦ ¿¹¹æÇÏ´Â ´ëÃ¥Àº ¹°·Ð, ¹èÀü¿ë º¯Àü¼Ò ÇÇ´õ¿ë VCBÀÇ °úÀü·ù °èÀü±â(Over Current Relay: OCR)¿Í °í¾Ð ¼ö¿ë°¡ÀÇ ¼öÀü¿ë VCBÀÇ OCR·Î º¸È£ÇùÁ¶(µ¿ÀÛÇùÁ¶)¸¦ µµ¸ðÇÏ´Â °ÍÀÌ Áß¿äÇÏ´Ù. ¹èÀü¼±Àº »ç°í³ª °ø»ç¿¡ ÀÇÇÑ ¿î¿ë ÀüȯÀÌ ÀÌ·ç¾îÁö´Â °æ¿ìµµ ÀÖ¾î Àü·Âȸ»ç¿ÍÀÇ ÇùÀǰ¡ Áß¿äÇÏ´Ù. [±×¸² 1]¿¡ ´Ü¼ø ¸ðµ¨À» ³ªÅ¸³Â´Ù. °í¾Ð ¼ö¿ë°¡ÀÇ ÇÇ´õ¿ë VCB Á÷ÇÏ(»ç°íÁ¡ F)¿¡¼ ´Ü¶ô»ç°í°¡ ¹ß»ýÇß´Ù¸é, »ç°íÁ¡ ±ØÇÑÈ(пùÚûù)ÀÇ ¿øÄ¢ÇÏ¿¡ ÇÇ´õ¿ë VCB³ª ¼öÀü¿ë VCB¸¦ °³¹æÇÏ¿© »ç°íÁ¡À» Á¦°ÅÇÏ±æ ¹Ù¶õ´Ù. °¡±ÞÀûÀÌ¸é ¹èÀü¿ë º¯Àü¼ÒÀÇ ÇÇ´õ¿ë VCB¸¦ Â÷´Ü½ÃŰ´Â ÀÏÀº ÇÇÇÏ±æ ¹Ù¶õ´Ù. ±×·¸°Ô ÇÔÀ¸·Î½á ¹èÀü¿ë º¯Àü¼Ò OCR F¿Í °í¾Ð ¼ö¿ë°¡ÀÇ OCR R ¹× OCR FÀÇ º¸È£ÇùÁ¶¸¦ µµ¸ðÇÏ´Â Àǹ̰¡ ÀÖ°Ô µÈ´Ù. º¸È£ÇùÁ¶ÀÇ ÀÌÇØ´Â ÁÖÀÓ±â¼úÀÚ¿¡°Ô ÀÖ¾î ¹«¾ùº¸´Ù Áß¿äÇÑ Á÷¹«ÀÌ´Ù.  ÃÖ±ÙÀÇ ¹èÀü¿ë º¯Àü¼Ò OCR Á¤Á¤ µµÄìÀü·Â °ü³»ÀÇ ¹èÀü¿ë º¯Àü¼Ò´Â 2´ë ³»Áö 3´ëÀÇ 20MVA Æ®·£½º°¡ °¢°¢ ´Üµ¶À¸·Î ¿îÀüµÇ°í ÀÖ°í, ±× ¸ð¼±¿¡¼ ÇÇ´õ(±ËÀü¼±(Ïúï³àÊ))°¡ 5~8ȸ¼± ³ª¿Í ÀÖ´Ù. ÃÖ±ÙÀÇ ¹èÀü¿ë º¯Àü¼Ò ÇÇ´õ¿ë OCRÀÇ Á¤Á¤(ïÚïÒ)Àº µðÁöÅÐÈ¿¡ ¼ö¹ÝÇÏ¿© 2´Ü ÇѽÃ(ùÚãÁ)°¡ º¸±ÞµÇ°í ÀÖÀ¸¸ç, CTºñ 600/1, 1´Ü TAP=1.2(720A)¿¡¼ 0.5ÃÊ, 2´Ü TAP=2.4(1440A)¿¡¼ 0.2ÃÊÀÇ Á¤Á¤ÀÌ ¸¹´Ù.([±×¸² 2] ÂüÁ¶) 1´Ü°ÀÇ 720A´Â ±× ¹èÀü¼±¿¡ Á÷·Ä·Î ¿¬°áµÇ´Â ¹èÀü¼±À̳ª ±â±â¿¡ Àå¾Ö¸¦ ÀÏÀ¸Å°´Â Çã¿ëÀü·ùÀÇ 150%¸¦ ±âÁØÀ¸·Î Á¤ÇØÁø´Ù. ¼ö¿ë°¡¿¡ °ø¾÷´ÜÁö°¡ ÀÖÀ» ¹ýÇÑ ´ë¿ë·® º¯Àü¼Ò¿¡¼´Â 30(MVA) Æ®·£½º°¡ ¿î¿ëµÇ°í ÀÖÀ¸¸ç, 1´Ü°ÀÇ Á¤Á¤ÀÌ TAP=1.2(720A)¿¡¼ 1.0ÃÊÀÎ °÷µµ ÀÖ´Ù.([±×¸² 3] ÂüÁ¶) ¼ö¿ë°¡ÀÇ Áö¿ª¼ºÀ» °í·ÁÇÏ¿© CTºñ 600/1, 1´Ü° TAP=1.3(780A)¿¡¼ 0.5ÃÊ ¶Ç´Â 1.0ÃÊ, 2´Ü° TAP=2.6(1560A)¿¡¼ 0.2ÃÊ Á¤Á¤ÀÎ °æ¿ìµµ ÀÖ´Ù. ÀÌó·³ ¹èÀü¿ë º¯Àü¼ÒÀÇ 2´Ü Çѽöó ÇØµµ ȹÀÏÀûÀÌÁö ¾Ê´Ù. ¶Ç ±âÁ¸ÀÇ Æ¯¼ºÀÎ ¹ÝÇѽà Ư¼º(Àü·ù°¡ Ä¿Áú¼ö·Ï µ¿À۽ð£ÀÌ »¡¶óÁö´Â Ư¼º)À» Á¤ÁöÇü ¸±·¹ÀÌ¿¡ ä¿ëÇϰí ÀÖ´Â ¹èÀü¿ë º¯Àü¼Òµµ ÀÖ´Ù.([±×¸² 4] ÂüÁ¶) [±×¸² 2~4]ÀÇ OCR R°ú OCR F1ÀÇ Æ¯¼º°î¼±Àº [±×¸² 1]¿¡¼ÀÇ ¼ö¿ë°¡ Á¤Á¤ ¿¹(°³³äµµ)ÀÌ´Ù.  ÃÖ±ÙÀÇ ¹ü¿ë OCR¿¡ ´ëÇØ[±×¸² 2~4]ÀÇ OCR R°ú OCR F1ÀÇ Æ¯¼ºÀº °¹ÝÇѽÃÀÇ ÀÏ·ÊÀÌ´Ù. ¹ÝÇѽà Ư¼ºÀÇ °æÇâÀº Àü±âÇÐȸ Àü±â±Ô°ÝÁ¶»çȸ Ç¥ÁØ±Ô°Ý JEC-2510-1989¿¡ ÀÇÇØ [Ç¥ 1]°ú °°ÀÌ Á¤ÇØÁ® ÀÖ´Ù. °¢ Á¦Á¶¾÷ü´Â À̸¦ ±âÁØÀ¸·Î Á¦Ç°À» »óǰÈÇϰí ÀÖ´Ù. [±×¸² 5]¿¡ ±× ÀϷʸ¦ ³ªÅ¸³½´Ù. Ư¼ºÀ» ´ÙÀ̾ó ¹× µö ½ºÀ§Ä¡·Î ÀüȯÇÒ ¼ö ÀÖ´Â À¯Çüµµ ¸¹ÀÌ ³ª¿Í ÀÖ´Ù.   °¢ Ư¼ºÀÇ °³¿ä¿¡ ´ëÇØ¼´Â · ÃʹÝÇѽà EI(Extremely Inverse): Àü·ùÀÇ 2½Â¿¡ ºñ·ÊÇÑ ½ÃÇÑÆ¯¼º ¶§¹®¿¡ ¹ß¿(ÁÙ¿) Ư¼º¿¡ ¸Â¾Æ Àü±â±â±âÀÇ °úºÎÇÏ º¸È£¿¡ ÀûÇÕÇÏ´Ù. ¶Ç ¿µ¿ÇüÀÇNFB, Ç»Áî µî º¸È£±â±âÀÇ Æ¯¼º¿¡µµ ¸Â±â ¶§¹®¿¡ ÀÌ·¯ÇÑ ±â±âµé°úÀÇ º¸È£ÇùÁ¶°¡ ¿ëÀÌÇÏ´Ù. · °¹ÝÇѽà VI(Very Inverse): Àü±â±â±âÀÇ °úºÎÇÏ ³»·® Ư¼º¿¡ ¸Â±â ¶§¹®¿¡ ¹èÀü¼±ÀÇ º¸È£ ¹× º¯¾Ð±âÀÇ º¸È£¿¡ ÀûÇÕÇÏ´Ù. · º¸Åë ¹ÝÇѽà NI(Normal Inverse): µ¿ÀÏÁöÁ¡ÀÇ °íÀåÀ¸·Î Àü·ù°¡ ´ëÆø º¯µ¿ÇÏ´Â °æ¿ì ¼ÛÀü¼±ÀÇ ´Ü¶ôº¸È£¿¡ ÀûÇÕÇÏ´Ù. · Á¤Çѽà DT(Definite-Time): ÀÔ·ÂÀü·ù°¡ ÀÏÁ¤Ä¡ ÀÌ»óÀÌ µÇ¸é, Àü·ùÀÇ Å©±â¿¡ °ü°è¾øÀÌ ±× µ¿À۽ð£ÀÌ ÀÏÁ¤ÇÑ Æ¯¼ºÀÌ´Ù. º¸È£ÇùÁ¶ °ËÅä ½Ã ÁßÁ¡»çÇ׺¸È£ÇùÁ¶¸¦ µµ¸ðÇÑ´Ù´Â °ÍÀº [±×¸² 2~4]¿¡¼¿Í °°ÀÌ °¡·ÎÃàÀÌ Àü·ù(A), ¼¼·ÎÃàÀÌ ½Ã°£(ÃÊ)ÀÎ ¾ç´ë¼ö ±×·¡ÇÁ¸¦ ÀÌ¿ëÇØ °¢ OCRÀÇ µ¿ÀÛÀü·ù¿¡ ´ëÇÑ µ¿À۽ð£À» Ç÷ÔÇÏ´Â °æ¿ì, Àü¿ø¿¡ °¡±î¿î »óÀ§(ÀÌ °æ¿ì´Â ¹èÀü¿ë º¯Àü¼Ò ÇÇ´õ¿ë)ÀÇ OCR Ư¼º°î¼±(¹èÀü¿ë º¯Àü¼ÒÀÇ ´ëºÎºÐÀº °è´Ü»óÀÇ 2´ÜÇѽÃ)º¸´Ù °ËÅä´ë»óÀÎ OCR(ÀÌ °æ¿ì´Â °í¾Ð ¼ö¿ë°¡ÀÇ ¼öÀü OCR)ÀÇ Æ¯¼º°î¼±ÀÌ ¿øÄ¢»ó ÀüÀü·ù(îïï³×µ) ¿µ¿ª¿¡ ÀÖ¾î¼ ¾Æ·¡ÂÊ¿¡ ¿Àµµ·Ï ÇÏ´Â °ÍÀÌ´Ù. ¶ÇÇÑ, ¼ö¿ë°¡ ±¸³»ÀÇ ÇÏÀ§ ÇÇ´õ OCR°ú º¯¾Ð±â º¸È£¿ë ÆÄ¿öÇ»Áî(PF)¿ÍÀÇ ÇùÁ¶¸¦ µµ¸ðÇÒ Çʿ䰡 ÀÖ´Ù. ¹èÀü¿ë º¯Àü¼Ò OCR°ú ¼öÀü OCRÀÇ ÇùÁ¶ °ËÅä¹èÀü¿ë º¯Àü¼Ò OCRÀÌ 720A-0.5ÃÊ, 1440A-0.2ÃÊÀÇ 2´Ü Çѽ÷Î, °í¾Ð ¼ö¿ë°¡ÀÇ ÀÏ·Ê([±×¸² 6] ÂüÁ¶)¸¦ ÅëÇØ ¼öÀü OCR(ÀÌÇÏ ¡¸51R¡¹)ÀÇ Á¤Á¤ ¿¹¸¦ »ý°¢ÇØ º»´Ù. OCRÀÇ Á¤Á¤Àº ¡â½Ãµ¿ Àü·ùÄ¡(A)(ÅÇÄ¡) ¡â´ÙÀ̾ó(·¹¹ö) ¡â¼ø½ÃÄ¡(A)ÀÇ 3¿ä¼Ò°¡ ÀϹÝÀûÀÌ´Ù. ±×¹Û¿¡ ÇÑ½ÃÆ¯¼º, »ó¿ëÁ֯ļö(50·60Hz)ÀÇ Àüȯ ŸÀÔµµ ÀÖ´Ù. ÇöÀå¿¡¼ »ç¿ëµÇ´Â ¡¸ÅÇ¡¹À̳ª ¡¸·¹¹ö¡¹¶ó°í ÇÏ´Â ¸»Àº À¯µµÇü ½Ã´ëÀÇ ÀÜÀçÀÌ´Ù. ¨ç ÅÇÄ¡¸¦ Á¤ÇÑ´Ù.°úÀü·ù º¸È£¸¦ ¸ñÀûÀ¸·Î ÇÑ OCR Çѽÿä¼ÒÀÇ µ¿ÀÛÀü·ùÄ¡¸¦ Á¤Á¤ÇÑ´Ù. µû¶ó¼ ºÒÇÊ¿äÇÑ µ¿ÀÛÀ»¸¸µéÁö ¾Ê°í °úºÎÇÏ º¸È£°¡ °¡´ÉÇÑ ÀûÀýÇÑ °ªÀ¸·Î ÇÑ´Ù. ÅÇÄ¡ÀÇ °è»ê½Ä α°ªÀÇ ±âÁØÀ¸·Î´Â ¡â°è¾àÀü·ÂÀÌ 1000kW ÀÌÇÏÀÎ °æ¿ì: 1.5 ¡â1000kW ÀÌ»óÀÎ °æ¿ì: 1.2~1.3 ¡â°í¾ÐÀüµ¿±â µî º¯µ¿ºÎÇϰ¡ ÀÖ´Â °æ¿ì: 1.5~2.0À¸·Î ÇÑ´Ù. ÅÇÄ¡ÀÇ Á¤Á¤Àº °è»êÇÑ Àü·ùÄ¡ÀÇ °¡Àå °¡±î¿î ÇÏÀ§·Î ÇÑ´Ù. °è¾à¼³ºñÀü·ÂÀ̶õ ºÎÇÏÀÇ »ç¿ë»óȲÀÌ ¹ÌÁ¤ÀÎ °æ¿ì, Àü·Âȸ»ç°¡ ÀÌ¿ëÇÏ´Â »êÃâ¹æ¹ý¿¡ ÀÇÇÑ °ªÀÌ´Ù.([Ç¥ 2] ÂüÁ¶)  À̸¦ ¹ÙÅÁÀ¸·Î °è»êÇϸé, °è¾à¼³ºñÀü·Â P=1800×0.4+105 =825(kW)  µû¶ó¼ ÅÇÄ¡=3.0(A)(1Â÷Ãø ȯ»êÀ¸·Î 120(A)) ½Ä¿¡¼ (5÷200)Àº CTºñÀÌ´Ù. º¯·ù±â(Current Transformer)¿¡ ÀÇÇØ CTºñÀÇ ºñÀ²·Î 1Â÷ÃøÀÇ °í¾ÐÀü·ù´Â ¼ÒÀü·ù·Î º¯È¯µÈ´Ù. ÃÖÁ¾ÀûÀ¸·Î´Â Àü·Âȸ»ç¿ÍÀÇ ÇùÀÇ·Î °áÁ¤µÈ´Ù ¨è ´ÙÀ̾ó D¸¦ Á¤ÇÑ´Ù´ÙÀ̾ó D¸¦ Á¤ÇÑ´Ù´Â °ÍÀº »ç°íÀü·ù¿¡ ´ëÇÑOCRÀÇ µ¿À۽ð£À» °áÁ¤ÇÏ´Â °ÍÀÌ´Ù. ¹èÀü¿ë º¯Àü¼Ò OCRÀÌ µ¿ÀÛÇϱâ Àü¿¡ 51RÀÇ µ¿ÀÛÀ¸·Î Â÷´Ü±â¸¦ °³¹æ½ÃÄÑ »ç°íÀü·ù¸¦ Â÷´ÜÇÒ ¼ö ÀÖµµ·Ï ÇÏ´Â Á¤Á¤ÀÌ ÇÊ¿äÇÏ´Ù. ¹èÀü¿ë º¯Àü¼ÒÀÇ 2´Ü ÇÑ½ÃÆ¯¼º°ú ÇùÁ¶¸¦ ÃëÇÒ ½Ã 51RÀÇ Æ¯¼ºÀº ÇÏÀ§¿ÍÀÇ µ¿ÀÛÇùÁ¶¸¦ °í·ÁÇϸé ÃʹÝÇѽà ¶Ç´Â °¹ÝÇѽð¡ À¯¸®ÇÏ´Ù. ¿©±â¼´Â ¾çÂÊ ¸ðµÎ °ËÅäÇϱâ·Î ÇÑ´Ù.  I: ÅÇÄ¡ ¹è¼ö ¡Ø µµ½Ã¹Ù(ÔÔò¹)´Â D°ªÀ» Ÿ Á¦Á¶¾÷üÀÇ 10ºÐÀÇ 1·Î Ç¥±âÇϰí ÀÖÀ¸¹Ç·Î 10À¸·Î ³ª´ Çʿ䰡 ¾ø´Ù. ´ÙÀ̾ó DÀÇ °ËÅä¿¡´Â ÀÌÇÏ 4°¡Áö Á¡(a~d)À» °í·ÁÇÒ Çʿ䰡 ÀÖ´Ù. a. ¼öÀü¿ë Â÷´Ü±âÀÇ Â÷´Ü½Ã°£¼öÀü¿ë VCB(52R)°¡ 51R¿¡¼ Æ®¸³½ÅÈ£¸¦ ¹Þ¾Æ °³±Øµ¿ÀÛ¿¡ µé¾î°¡ ¾ÆÅ© Â÷´Ü¿¡ À̸£±â±îÁöÀÇ ½Ã°£ÀÌ´Ù. ÇöÀç´Â ´ëºÎºÐÀÌ 3»çÀÌŬ Â÷´Ü(°³±Ø½Ã°£ 2»çÀÌŬ+¾ÆÅ©½Ã°£ 1»çÀÌŬ)ÀÌ´Ù. µû¶ó¼ 50HzÀÇ °æ¿ì´Â 1»çÀÌŬÀÌ 0.02ÃÊÀ̹ǷΠ51RÀÇ µ¿À۽𣿡 0.02×3=0.06(ÃÊ)¸¦ ´õÇÑ ½Ã°£À¸·Î °ËÅäÇÑ´Ù.(OCB´Â 5»çÀÌŬ ¹× 8»çÀÌŬ·Î, 8»çÀÌŬÀº ÇùÁ¶°¡ ºÒ°¡´ÉÇϹǷΠÁÖÀǰ¡ ÇÊ¿äÇÏ´Ù) b. ¹èÀü¿ë º¯Àü¼Ò OCRÀÇ °ü¼ºÆ¯¼ºÀ» 0.9·Î ÇÑ´Ù¹èÀü¿ë º¯Àü¼Ò OCRÀÇ 1´Ü° ÇѽÃÁ¤Á¤ 0.5ÃÊ¿¡ ´ëÇØ Á¤Á¤ ÅÇÄ¡ ÀÌ»óÀÇ »ç°íÀü·ù°¡ 0.5×0.9=0.45(ÃÊ) ÀÌ»ó È帣¸é, ¹èÀü¿ë º¯Àü¼Ò OCRÀÌ µ¿ÀÛÇÏ¿© ¼ÛÃâ VCB¿¡ Æ®¸³½ÅÈ£¸¦ ³»º¸³½´Ù. µû¶ó¼ ¹èÀü¿ëº¯Àü¼Ò OCRÀÇ ÇÑ½ÃÆ¯¼ºÀº °ü¼ºÆ¯¼º 0.9¸¦ °í·ÁÇÑ ½Ã°£À¸·Î °ËÅäÇÑ´Ù. Àü·Â¿ë ±Ô°Ý B-402¿¡ µû¸£¸é ´ÜÇѽÃ(Ó«ùÚãÁ) µðÁöÅÐ ¸±·¹ÀÌ¿¡¼´Â °ü¼ºÆ¯¼º¿¡ ´ëÇÑ ±â¼úÀÌ µû·Î ¾ø¾î °ü¼ºÆ¯¼ºÀ» °í·ÁÇÒ ÇÊ¿ä´Â ¾øÀ» °ÍÀ¸·Î ÆÇ´ÜµÇÁö¸¸, JEC-2510¿¡ Á¤ÁöÇü ¸±·¹ÀÌÀÇ Á¤Çѽà °ü¼ºÆ¯¼ºÀÌ 0.9·Î ±âÀçµÇ¾î Àֱ⠶§¹®¿¡ ¾ÈÀü Ãø¸é¿¡¼ °ü¼ºÆ¯¼ºÀ» 0.9·Î ÇÏ¿© °ËÅ並 ÁøÇàÇÒ Çʿ䰡 ÀÖ´Ù. Âü°í·Î ¹ÝÇѽà Ư¼ºÀÇ Á¤ÁöÇü ¸±·¹ÀÌÀÇ °æ¿ì´Â JEC-2510¿¡ ±â¼úµÇ¾î ÀÖ´Â 0.85·Î °ËÅäÇÑ´Ù. c. ¿©À¯µµ(tolerance, ë®Óø)·Î¼ µ¿À۽ð£Â÷ 0.03Ãʸ¦ °í·ÁÇÑ´Ù¼öÀü OCRÀÇ µ¿À۽ð£(»ó±â ¨ç,¨è)°ú ¹èÀü¿ë º¯Àü¼Ò OCRÀÇ ÇÑ½ÃÆ¯¼º °£ÀÇ ½Ã°£Â÷ 0.03Ãʸ¦ °í·ÁÇÑ´Ù. 720A¿¡¼´Â 0.5×0.9-(0.06+0.03)=0.36(ÃÊ) ÀÌÇÏ, 1440A¿¡¼´Â 0.2×0.9-(0.06+0.03)=0.09(ÃÊ) ÀÌÇÏ·Î OCRÀÌ µ¿ÀÛÇϵµ·Ï ´ÙÀ̾ó D¸¦ °áÁ¤ÇÑ´Ù. À̸¦ Åä´ë·Î °è»êÇϸé,  ÀÌ µÇ´Â D¸¦ ±¸ÇÏ¸é µÈ´Ù. À̸¦ Ç®¸é D≤1.575µû¶ó¼ D=1.5°¡ µÈ´Ù. D=1.5·Î 1440A¸¦ °ËÅäÇϸé,   ÀÌ µÇ´Â D¸¦ ±¸ÇÏ¸é µÈ´Ù. À̸¦ Ç®¸é D≤1.333 µû¶ó¼ D=1.0ÀÌ µÈ´Ù. D=1.0À¸·Î 1440A¸¦ °ËÅäÇϸé,  ÀÌ °æ¿ì, 720A¿¡¼ Ŭ¸®¾î·±½º(Clearance)°¡ È®º¸µÅµµ 1440A¿¡¼ 0.09Ãʸ¦ ³Ñ¾î¹ö¸°´Ù. ÀÌ Á¡À» ÇØ°áÇϱâ À§ÇØ D=0.5·Î Çϸé 0.123÷2=0.0615Ãʰ¡ µÈ´Ù. d. ÇÏÀ§ÀÇ ÇÇ´õ OCR ¹× º¯¾Ð±â º¸È£¿ë ÆÄ¿öÇ»Áî(PF)¿ÍÀÇ ÇùÁ¶¹èÀü¿ë º¯Àü¼Ò OCRÀÇ Æ¯¼º¿¡ ´ëÇØ ÃæºÐÇÑ Å¬¸®¾î·±½º¸¦ ¼³Á¤Çϸé ÇÏÀ§¿¡ ÀÖ´Â OCR ¹× PF µ¿ÀÛÆ¯¼º°úÀÇ ÇùÁ¶°¡ ¾î·Á¿öÁø´Ù. ¹Ì¾²ºñ½ÃÀÇ ´ëÇ¥ÀûÀÎ PF µ¿ÀÛÆ¯¼º °î¼±¿¡ ¹èÀü¿ë º¯Àü¼ÒÀÇ 2´Ü Çѽø¦ Ç÷ÔÇϸé [±×¸² 7]°ú °°ÀÌ µÈ´Ù. °ËÅäÀÇ ¿¹¿¡¼´Â µ¿·Â º¯¾Ð±â 500kVA¿ë PF·Î ÇÏ¿© G75(T50, C50)A¸¦ °í·ÁÇÑ´Ù. ÃÖÁ¾ÀûÀ¸·Î´Â ¹èÀü¿ë º¯Àü¼ÒÀÇ 2´Ü ÇÑ½Ã¿Í PF µ¿ÀÛÆ¯¼º °£¿¡ 51R Ư¼ºÀ» Á¤Á¤ÇÏ°Ô µÈ´Ù. PFÀÇ Á¤°ÝÀü·ù°¡ Ä¿Áö¸é Á¤Á¤ °¡´É ¹üÀ§°¡ Á¼¾ÆÁüÀ» ¾Ë ¼ö ÀÖ´Ù. ¨é ¼ø½Ã¿ä¼ÒÀÇ ÅÇÄ¡¸¦ Á¤ÇÑ´Ùº¯¾Ð±âÀÇ ¿©ÀÚµ¹ÀÔÀü·ù·Î´Â µ¿ÀÛÇÏÁö ¾Ê°í »ç°í(´Ü¶ô)Àü·ù·Î µ¿ÀÛÇϸç, ¹èÀü¿ë º¯Àü¼Ò OCRÀÇ µ¿ÀÛ¹üÀ§¿¡ µé¾î°¡Áö ¾Êµµ·Ï Á¤Á¤ÇÒ Çʿ䰡 ÀÖ´Ù.(¼öÀüÁ¡ÀÇ ´Ü»ó ´Ü¶ôÀü·ù¿¡ ¸¶Áø 50% Á¤µµ¸¦ °è»êÇÑ °ªÀ¸·Î µ¿À۵ǵµ·Ï ´õºíüũÇÑ´Ù.(ÀÌÁß È®ÀÎ) ¼öÀüÁ¡ÀÇ ´Ü¶ôÀü·ù´Â Àü·Âȸ»ç¿¡ ¹®ÀÇÇÏ¿© È®ÀÎÇÑ´Ù) ¼ø½Ã¿ä¼ÒÀÇ °è»ê½Ä (°è¾à¼³ºñÀü·ÂÀÌ ÀûÀº °æ¿ì´Â αi=5~15, ÀϹÝÀûÀ¸·Î´Â 10~15) ¼ø½ÃÄ¡ÀÇ Á¤Á¤Àº °è»êµÈ Àü·ùÄ¡ÀÇ °¡Àå °¡±î¿î »óÀ§·Î ÇÑ´Ù. À̸¦ Åä´ë·Î ÇÏ¿© α i=10À¸·Î °è»êÇϸé,  µû¶ó¼ ¼ø½ÃÄ¡=40(A) (1Â÷Ãø ȯ»êÀ¸·Î 1600A) ¼ø½ÃÄ¡ÀÇ ¶óÀο¡¼ ÇÑ½ÃÆ¯¼ºÀÌ 0.05ÃÊ ÀÌÇϰ¡ µÇ´Â °æ¿ì°¡ Àִµ¥, 0.05ÃÊ¿¡¼´Â Á¤Çѽ𡠵ȴÙ. ¶Ç, ¿©ÀÚµ¹ÀÔÀü·ù´Â º¯¾Ð±âÀÇ ¡¸Á¤°Ý 1Â÷Àü·ùÀÇ 10¹è·0.1ÃÊ¡¹·Î °ËÅäÇÏ´Â ÀÏÀÌ ¸¹Àºµ¥ ÇùÁ¶°ËÅä °á°ú°¡ ±î´Ù·Ó°Ô ³ª¿À´Â ÄÉÀ̽º°¡ ÀÖ¾î °¨¼èƯ¼ºÀ» °í·ÁÇÑ À¯¸í Á¦Á¶»çÀÇ ÀڷḦ »ç¿ëÇϱ⵵ ÇÑ´Ù. [Ç¥ 3]Àº ¹Ì¾²ºñ½ÃÀü±â(ß²×Ôï³Ñ¦)°¡ °øÇ¥Çϰí ÀÖ´Â ½ÇÃøÄ¡ÀÌ´Ù. [Ç¥ 3]À» Åä´ë·Î 3»ó 500kVA À¯ÀÔº¯¾Ð±âÀÇ ¿©ÀÚµ¹ÀÔÀü·ù¸¦ °¡Áö°í 1Â÷Àü·ùÀÇ 10¹è·0.1ÃÊÀÇ ÀÏÁ¡(¡Ø1)°ú °¨¼è¸¦ °í·ÁÇÑ ¼öÄ¡(¡Ø2ÀÇ °î¼±)¸¦ ºñ±³ÇØ º¸¸é [±×¸² 8]°ú °°´Ù. Á¤°Ý 1Â÷Àü·ùÀÇ 10¹è(500/11.43)×10¡Ö440(A)ÀÇ 0.1ÃÊÀÇ ÀÏÁ¡(ìéïÇ)¿¡ ´ëÇØ¼ °¨¼è¸¦ °í·ÁÇÑ °î¼±ÀÌ ÁÂÃø¿¡ ¿À´Â °ÍÀ» ¾Ë ¼ö ÀÖ´Ù. µû¶ó¼ ¼ø½ÃÄ¡ÀÇ °áÁ¤ ½Ã ¾ÈÀü ¸é¿¡¼ Á¤°Ý 1Â÷Àü·ùÀÇ 10¹è·0.1ÃÊÀÇ ÀÏÁ¡À¸·Î °ËÅäÇÏ´Â °æ¿ì°¡ ¸¹´Ù. ¿©ÀÚµ¹ÀÔÀü·ùÀÇ Å©±â´Â º¯¾Ð±â ö½ÉÀÇ ÀÜ·ùÀÚ¼Ó°ú Àü¿ø ÅõÀÔ À§»ó¿¡ µû¶ó ±× °ªÀÌ Å©°Ô ´Þ¶óÁø´Ù. ±Ø´ëÄ¡°¡ µÇ´Â Çö»óÀ» ¿ì¹ßÀûÀ̶ó°í ÇÑ´Ù¸é, ¼öÀü OCRÀÌ ¿©ÀÚµ¹ÀÔÀü·ù·Î µ¿ÀÛÇÏÁö ¾Êµµ·Ï Çϱâ À§ÇØ º¯¾Ð±â ÀüüÀÇ ¿©ÀÚµ¹ÀÔÀü·ù ÇÕ°èÄ¡¸¦ °í·ÁÇÒ ÇÊ¿ä ¾øÀÌ, ÃÖ´ë¿ë·®ÀÇ º¯¾Ð±â 1´ë¿¡ ´ëÇØ¼¸¸ °ËÅäÇÏ´Â ¹æ½Äµµ ÀÖ´Ù.   º¸È£ÇùÁ¶ÀÇ È®ÀÎÁ¤Á¤Ä¡(ïÚïÒö·)ÀÇ ÇùÁ¶¸¦ È®ÀÎÇϱâ À§ÇØ ¾ç´ë¼ö(Õ×Óßâ¦) ¿ëÁö¸¦ »ç¿ëÇÏ¿© º¸È£ÇùÁ¶µµ(ÜÁûÞúððàÓñ)¸¦ ÀÛ¼ºÇÑ´Ù.([±×¸² 9] ÂüÁ¶) Àüü ´ÙÀ̾óÀÇ Æ¯¼º°î¼±ÀÌ ±âÀçµÇ¾î ÀÖ´Â Á¦Á¶»çÀÇ ÀڷḦ Ȱ¿ëÇÏ´Â °æ¿ì, XÃàÀÌ Àü·ùÄ¡°¡ ¾Æ´Ñ Á¤Á¤Ä¡ÀÇ ¹èÀ²(ÅÇÄ¡ ¹è¼ö) ¶Ç´Â %·Î Ç¥½ÃµÇ¾î Àֱ⠶§¹®¿¡ CTºñ¸¦ °í·ÁÇÏ¿© 1Â÷Ãø(6kVÃø) Àü·ù·Î ȯ»êÇÒ Çʿ䰡 ÀÖ´Ù. º¯¾Ð±â º¸È£¿ë PF G75AÀÇ µ¿ÀÛÆ¯¼ºÀ» °í·ÁÇϸé OCR Ư¼ºÀÌ PF µ¿ÀÛÆ¯¼ºÀÇ »óÃø(ß¾ö°)ÀÌ µÇ´Â Àü·ù¿µ¿ªÀÌ ³ÐÀ¸¹Ç·Î EI Ư¼ºÀ» ä¿ëÇÏ°Ô µÈ´Ù. EI¿¡¼´Â ´ëÀü·ù ¿µ¿ªÀ¸·ÎºÎÅÍ ¾à 300A(¡ÙA)±îÁöÀÌÁö¸¸, VI¿¡¼´Â ¾à 600A(¡ÙB)±îÁöÀÇ ¹üÀ§ÀÌ´Ù.  * ¹èÀü¿ë º¯Àü¼Ò OCRÀÇ Æ¯¼ºÀÌ ÀϹÝÀûÀÎ 2´Ü ÇѽÃÀ̸é, ±× 2°³ÀÇ °¢(720A-0.5ÃÊÀÇ °¢[¡Ù C]°ú 1440A-0.2ÃÊÀÇ °¢[¡ÙD])À» ÁßÁ¡À¸·Î ÇÏÀ§ OCR ¹× PF¸¦ °í·ÁÇØ º¸È£ÇùÁ¶¸¦ °ËÅäÇÏ¸é µÈ´Ù. Àü¼úÇÑ ¹Ù¿Í °°ÀÌ µðÁöÅÐ ¸±·¹ÀÌÀÇ Æ¯¼ºÀº ÇÔ¼ö·Î ÁÖ¾îÁö±â ¶§¹®¿¡ ÇÔ¼ö ÀüŹ(ÀüÀÚŹ»ó°è»ê±â)ÀÌ ÇʼöǰÀÌ´Ù. ÇöÀå¿¡¼ ½ÃÇè¾÷ü ¹× °ø»ç¾÷ü¿¡°Ô Áö½Ã¸¦ ³»¸± ¶§¿¡´Â Á¤È®Çϰí È®½ÇÇÑ ±Ù°Å¸¦ Á¦½ÃÇØ¾ß Çϱ⠶§¹®ÀÌ´Ù. ¶Ç ù¸Ó¸®¿¡¼µµ ¸»ÇßµíÀÌ, ¼öÀü OCRÀÇ Á¤Á¤Àº Àü·Âȸ»ç¿Í ÇùÀǸ¦ °ÅÄ¡´Â ÀÏÀÌ Áß¿äÇϸç, ºÒºÐ¸íÇÑ Á¡¿¡ ´ëÇØ¼´Â ¹®ÀǸ¦ ÅëÇØ ¹è¿ö³ª°¡´Â ÀÚ¼¼°¡ ÇÊ¿äÇÏ´Ù.
<Energy News>
http://www.energy.co.kr
|